專業品牌
TOKIND專注于實效性的產品開發理念,從產品定位、研發、轉化到生產,實施全套服務體系。
安徽至善新材料有限公司
Life through discovery! Step by step ferociously!
打造最具特色創新產品和一流科技服務的綠色化學企業。
查看更多
TOKIND專注于實效性的產品開發理念,從產品定位、研發、轉化到生產,實施全套服務體系。
突出化學產品特點,從實處出發解決工業技術難題,生產高品質產品,滿足終端產品技術需要。
TOKIND獲得多項專利,多項國家權威資質認證,獲許多種化學產品生產經營資質與管理資質。
TOKIND擁有現代化實體工廠,集研發、中試、生產、服務于一體,有效保障產品全線上服務。
安徽至善新材料有限公司
OurProduct
slogan
更多

CAS:694-53-1

CAS:3211-76-5

CAS:672-15-1

CAS:6027-21-0

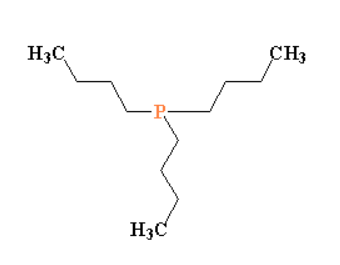
CAS:998-40-3

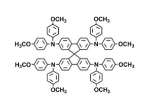
CAS:214759-21-4

CAS:439685-79-7

CAS:207739-72-8

CAS:1679-18-1
TOKIND 深耕化學領域
| 新源县 | 民勤县 | 涪陵区 | 电白县 | 湖口县 | 乐山市 |
| 高要市 | 旬邑县 | 黄龙县 | 两当县 | 安乡县 | 灵宝市 |
| 丁青县 | 阿拉尔市 | 尖扎县 | 桓仁 | 葵青区 | 铜鼓县 |